Trường THCS Châu Sơn
  • Giới thiệu
    • Giới thiệu về trường
    • Bạn Giám Hiệu
    • Cơ cấu tổ chức
    • Thành tích nổi bật từ phong trào “Dạy tốt – Học tốt” tại Trường THCS Châu Sơn 🌟
  • Tin tức hoạt động
    • Hoạt động Đảng – Đoàn thể
    • Hoạt động chuyên môn
    • Hoạt động Đoàn – Đội
    • Hoạt động ngoài giờ lên lớp
    • Hoạt động khác
  • Văn bản
    • Báo cáo
    • Chỉ thị
    • Công văn
    • Kế hoạch
    • Luật
    • Nghị định
    • Nghị quyết
    • Quyết định
    • Thông báo
    • Thông tư
    • Tờ trình
    • Văn bản khác
  • Tài nguyên
    • Bài giảng e-Learning
    • Bài giảng điện tử
    • Ngân hàng đề thi
    • Nghiên cứu khoa học
    • Phần mềm – Tiện ích
    • Phần mềm Giáo dục – Học tập
    • Sáng kiến kinh nghiệm
    • Tài liệu – Giáo trình
    • Thư viện ảnh
    • Thư viện videos
  • Lịch – Kế hoạch
    • Lịch công tác tuần
    • Kế hoạch hoạt động
  • TKB
  • Hỏi đáp
  • CÔNG KHAI
  • Liên hệ
Thứ sáu, 03/04/2026
Chào mừng các bạn đến với Website Trường THCS Châu Sơn

THƯ VIỆN ẢNH

  1. Trang chủ
  2. CÔNG KHAI, Công khai, Thư viện ảnh, Tin tức - Sự kiện
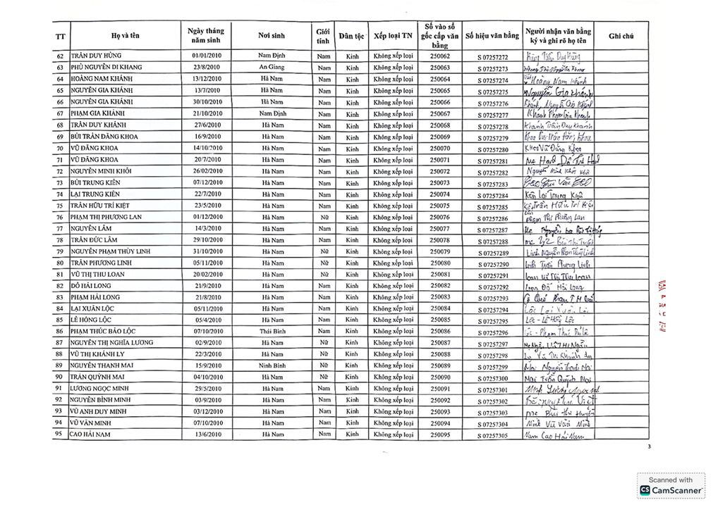
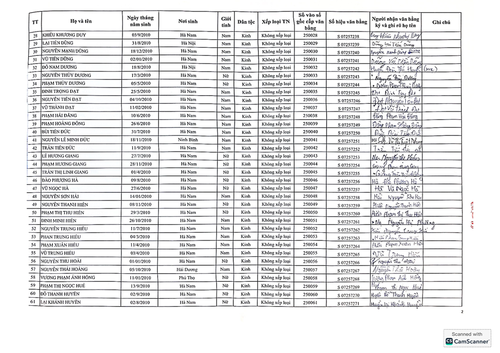
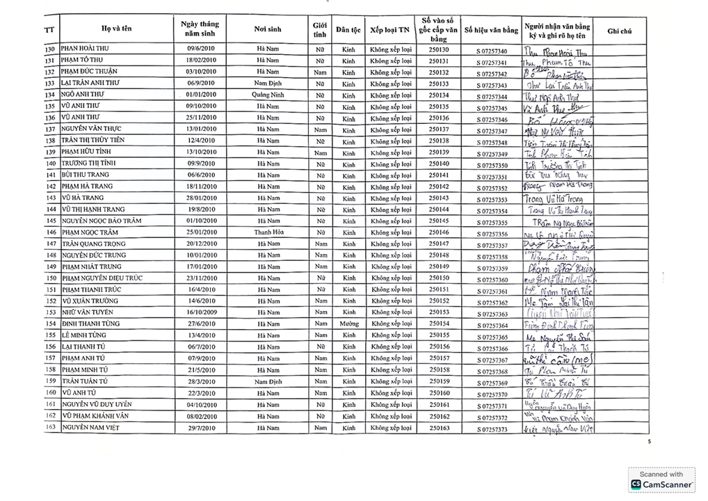
  3. Công khai sổ cấp phát bằng tốt nghiệp trung học cơ sở của trường THCS Châu Sơn

Công khai sổ cấp phát bằng tốt nghiệp trung học cơ sở của trường THCS Châu Sơn

Lượt xem:


BÀI VIẾT CÙNG CHUYÊN MỤC

Hòa trong không khí sôi nổi của tuổi trẻ tỉnh Ninh Bình, thầy và trò Trường THCS Châu Sơn tự hào tham gia Ngày hội Võ nhạc Vovinam

Hòa trong không khí sôi nổi của tuổi trẻ tỉnh Ninh Bình, thầy và trò Trường THCS Châu Sơn tự hào tham gia Ngày hội Võ nhạc Vovinam

Lượt xem:

TUYÊN DƯƠNG THÀNH TÍCH THẦY VÀ TRÒ TRONG KỲ THI HỌC SINH GIỎI CẤP TỈNH

TUYÊN DƯƠNG THÀNH TÍCH THẦY VÀ TRÒ TRONG KỲ THI HỌC SINH GIỎI CẤP TỈNH

Lượt xem:

NGÀY HỘI “THIẾU NHI VUI KHỎE – TIẾN BƯỚC LÊN ĐOÀN”

NGÀY HỘI “THIẾU NHI VUI KHỎE – TIẾN BƯỚC LÊN ĐOÀN”

Lượt xem:

Trường THCS Châu Sơn trân trọng thông báo:      Thầy Phạm Văn Phúc – Giáo viên, Tổ trưởng Tổ Khoa học tự nhiên, Trường THCS Châu Sơn, phường Châu Sơn, tỉnh Ninh Bình – tham gia ứng cử đại biểu Hội đồng nhân dân phường Châu Sơn khóa II, nhiệm kỳ 2026 – 2031.

Trường THCS Châu Sơn trân trọng thông báo: Thầy Phạm Văn Phúc – Giáo viên, Tổ trưởng Tổ Khoa học tự nhiên, Trường THCS Châu Sơn, phường Châu Sơn, tỉnh Ninh Bình – tham gia ứng cử đại biểu Hội đồng nhân dân phường Châu Sơn khóa II, nhiệm kỳ 2026 – 2031.

Lượt xem:

Nhân dịp Xuân Bính Ngọ 2026 trường THCS Châu Sơn – Phường Châu Sơn- Tỉnh Ninh Bình xin gửi lời chúc Tết tới toàn thể Quý Phụ huynh và các em Học sinh.

Nhân dịp Xuân Bính Ngọ 2026 trường THCS Châu Sơn – Phường Châu Sơn- Tỉnh Ninh Bình xin gửi lời chúc Tết tới toàn thể Quý Phụ huynh và các em Học sinh.

Lượt xem:

[TIN HOẠT ĐỘNG] TUYÊN TRUYỀN VÀ KÝ CAM KẾT PHÒNG CHỐNG PHÁO, VŨ KHÍ, VẬT LIỆU NỔ

[TIN HOẠT ĐỘNG] TUYÊN TRUYỀN VÀ KÝ CAM KẾT PHÒNG CHỐNG PHÁO, VŨ KHÍ, VẬT LIỆU NỔ

Lượt xem:

Đăng nhập

THỜI KHÓA BIỂU

  • Thời khóa biểu tuần 15 (Số 15 thực hiện từ 15/12/2025) (14/12/2025)
  • Thời khóa biểu tuần 14 thực hiện từ 8/12/2025 (07/12/2025)
  • Thời khóa biểu Tuần 13 (số 12 thực hiện từ ngày 01/12/2025) (30/11/2025)

Tin tức từ sở GD & ĐT

  • Nghị lực vượt khó của 3 chị em sinh ba mồ côi (01/04/2026)
  • Sở Giáo dục và Đào tạo ban hành Kế hoạch tổ chức Kỳ thi tuyển sinh lớp 10 THPT, năm học 2026-2027 (01/04/2026)
  • Ghi nhận qua Kỳ thi chọn học sinh giỏi THCS cấp tỉnh năm học 2025-2026 (01/04/2026)
  • Hiệu quả từ đầu tư cơ sở vật chất cho các trường học (30/03/2026)
  • Khơi dậy tinh thần Việt qua từng nhịp võ Vovinam (28/03/2026)
  • Hơn 700 nghìn học sinh tham gia “Ngày hội đồng diễn Võ nhạc Vovinam học sinh phổ thông” (27/03/2026)

Kế hoạch hoạt động

  • Kế hoạch đổi mới giáo dục nâng cao chất lượng dạy và học (24/06/2025)

Menu

  • Thông báo
  • Kế hoạch hoạt động
  • Thời khóa biểu
  • Văn bản
    • Báo cáo
    • Chỉ thị
    • Công văn
    • Kế hoạch
    • Luật
    • Nghị định
    • Nghị quyết
    • Quyết định
    • Thông báo
    • Thông tư
    • Tờ trình
    • Văn bản khác
  • Thủ tục hành chính
    • Chuyển công tác
    • Chuyển trường
    • Dạy thêm – Học thêm
    • Phúc khảo
    • Thủ tục hành chính khác
    • Văn bằng chứng chỉ
  • Tài nguyên
    • Bài giảng điện tử
    • Ngân hàng đề thi
    • Nghiên cứu khoa học
    • Phần mềm – Tiện ích
    • Phần mềm Giáo dục – Học tập
    • Sáng kiến kinh nghiệm
    • Tài liệu – Giáo trình
  • Công nghệ thông tin
  • Khuyến học
  • Những tấm gương tiêu biểu
  • Thống kê giáo dục
  • Thư viện videos
  • Thư viện ảnh
  • Lịch nghỉ tết
  • Thành tích nổi bật từ phong trào “Dạy tốt – Học tốt” tại Trường THCS Châu Sơn 🌟
  • Dạy và Học
  • Đảng – Đoàn thể
  • Khảo thí và kiểm định chất lượng giáo dục
  • Thi đua – Khen thưởng

Thư viện tài nguyên

  • Ảnh các hoạt động của nhà trường THCS Châu Sơn đến Tháng 11 năm 2025
    Lượt xem: Lượt tải:
  • Bài giảng điện tử khối 6
    Lượt xem: Lượt tải:
  • Phần mềm gõ tiếng Việt Unikey
    Lượt xem: Lượt tải:
  • Giáo trình word căn bản
    Lượt xem: Lượt tải:
  • Bảng động từ bất quy tắc Tiếng Anh
    Lượt xem: Lượt tải:

Lịch

Tháng Tư 2026
H B T N S B C
« Th3    
 12345
6789101112
13141516171819
20212223242526
27282930  

Liên kết nhanh

  • Bộ GD&ĐT

Thông báo

  • Công khai Báo cáo thường niên theo thông tư 09 năm 2025
  • [THÔNG BÁO] TRÂN TRỌNG KÍNH MỜI TOÀN THỂ NHÂN DÂN ĐẾN XEM PHIM “MƯA ĐỎ” – MIỄN PHÍ 🇻🇳
  • Công khai Quyết định công khai theo thông tư 09
  • Công khai Kế hoạch công khai theo thông tư 09
  • Thông báo – Nhiệm vụ trong năm học mới
  • 3 chính sách giáo dục mới có hiệu lực từ tháng 9/2025
  • Thư của Chủ tịch nước Lương Cường gửi ngành Giáo dục nhân dịp khai giảng năm học 2025 – 2026
  • Nguyên tắc xác định học phí năm học mới

VĂN BẢN

  • 256/SGDĐT-GDTrH (27/01/2026) - V/v tập huấn chuyên đề Phát triển mô hình lớp học đảo ngược trong điều kiện chuyển đổi số và ứng dụng trí tuệ nhân tạo AI; hoạt động giáo dục trí tuệ nhân tạo cho học sinh THCS, THPT; ứng dụng nền tảng LCMS i- School trong ôn luyện và khảo sát đáp ứng kì thi tốt nghiệp THPT năm 2026.
  • 1800/QĐ-SGDĐT (23/12/2025) - Quy định công nhận đạt chuẩn Xanh - Sạch - Đẹp - An toàn và đạt chuẩn Xanh - Sạch - Đẹp - An toàn -Hạnh phúc đối với cơ sở giáo dục mầm non, cơ sở giáo dục phổ thông, cơ sở giáo dục thường xuyên
  • 85/KH-SGDĐT (22/12/2025) - Kế hoạch triển khai học bạ số ngành giáo dục năm 2025 - 2026
  • 2030/SGDĐT-CTHSSV (19/12/2025) - V/v tham dự Hội nghị "Bồi dưỡng công tác giáo dục truyền thống cho học sinh, sinh viên thông qua phát huy di sản văn hóa của địa phương

Văn bản từ Sở GD & ĐT

  • Kế hoạch tổ chức kỷ niệm 36 năm Ngày nhà giáo Việt Nam (20/11/1982 - 20/11/2018) (16/12/2025)
  • Kế hoạch tuyên truyền gương điển hình tiên tiến giai đoạn 2023-2025 (16/12/2025)
  • HƯỚNG DẪN Tổ chức Tháng Công nhân Tháng hành động về an toàn, vệ sinh lao động năm 2020 (05/09/2025)
  • Thông báo nhận tiền thưởng năm học 2019-2020 của Sở GD và của UBND tỉnh (05/09/2025)
  • Thông báo kết quả thi tuyển viên chức giáo dục năm 2020 (vòng 1) (05/09/2025)
  • CV kiểm tra, rà soát việc nhận tiền thưởng thành tích học sinh giỏi năm học 2024-2025 (05/09/2025)
  • Mới nhất
  • Xem nhiều
  • Hòa trong không khí sôi nổi của tuổi trẻ tỉnh Ninh Bình, thầy và trò Trường THCS Châu Sơn tự hào tham gia Ngày hội Võ nhạc Vovinam

    Hòa trong không khí sôi nổi của tuổi trẻ tỉnh Ninh Bình, thầy và trò Trường THCS Châu Sơn tự hào tham gia Ngày hội Võ nhạc Vovinam

  • TUYÊN DƯƠNG THÀNH TÍCH THẦY VÀ TRÒ TRONG KỲ THI HỌC SINH GIỎI CẤP TỈNH

    TUYÊN DƯƠNG THÀNH TÍCH THẦY VÀ TRÒ TRONG KỲ THI HỌC SINH GIỎI CẤP TỈNH

  • NGÀY HỘI “THIẾU NHI VUI KHỎE – TIẾN BƯỚC LÊN ĐOÀN”

    NGÀY HỘI “THIẾU NHI VUI KHỎE – TIẾN BƯỚC LÊN ĐOÀN”

  • Trường THCS Châu Sơn trân trọng thông báo:      Thầy Phạm Văn Phúc – Giáo viên, Tổ trưởng Tổ Khoa học tự nhiên, Trường THCS Châu Sơn, phường Châu Sơn, tỉnh Ninh Bình – tham gia ứng cử đại biểu Hội đồng nhân dân phường Châu Sơn khóa II, nhiệm kỳ 2026 – 2031.

    Trường THCS Châu Sơn trân trọng thông báo: Thầy Phạm Văn Phúc – Giáo viên, Tổ trưởng Tổ Khoa học tự nhiên, Trường THCS Châu Sơn, phường Châu Sơn, tỉnh Ninh Bình – tham gia ứng cử đại biểu Hội đồng nhân dân phường Châu Sơn khóa II, nhiệm kỳ 2026 – 2031.

  • Nhân dịp Xuân Bính Ngọ 2026 trường THCS Châu Sơn – Phường Châu Sơn- Tỉnh Ninh Bình xin gửi lời chúc Tết tới toàn thể Quý Phụ huynh và các em Học sinh.

    Nhân dịp Xuân Bính Ngọ 2026 trường THCS Châu Sơn – Phường Châu Sơn- Tỉnh Ninh Bình xin gửi lời chúc Tết tới toàn thể Quý Phụ huynh và các em Học sinh.

  • [TIN HOẠT ĐỘNG] TUYÊN TRUYỀN VÀ KÝ CAM KẾT PHÒNG CHỐNG PHÁO, VŨ KHÍ, VẬT LIỆU NỔ

    [TIN HOẠT ĐỘNG] TUYÊN TRUYỀN VÀ KÝ CAM KẾT PHÒNG CHỐNG PHÁO, VŨ KHÍ, VẬT LIỆU NỔ

  • Thực hiện kế hoạch phối hợp của địa phương, ĐOÀN THANH NIÊN – ĐỘI TNTP  trường THCS Châu Sơn tham gia tổng dọn vệ sinh, chăm sóc cảnh quan và thắp hương tại các nghĩa trang liệt sĩ trên địa bàn phường nhân dịp Tết Nguyên đán Bính Ngọ 2026.

    Thực hiện kế hoạch phối hợp của địa phương, ĐOÀN THANH NIÊN – ĐỘI TNTP trường THCS Châu Sơn tham gia tổng dọn vệ sinh, chăm sóc cảnh quan và thắp hương tại các nghĩa trang liệt sĩ trên địa bàn phường nhân dịp Tết Nguyên đán Bính Ngọ 2026.

  • Trường THCS Châu Sơn tổ chức Ngày hội STEM – Hội chợ xuân “Xuân yêu thương”

    Trường THCS Châu Sơn tổ chức Ngày hội STEM – Hội chợ xuân “Xuân yêu thương”

  • Kế hoạch đổi mới giáo dục nâng cao chất lượng dạy và học

    Kế hoạch đổi mới giáo dục nâng cao chất lượng dạy và học

  • Thời khóa biểu Tuần 1 (số 1 năm học mới thực hiện từ ngày 8/9/2025)

    Thời khóa biểu Tuần 1 (số 1 năm học mới thực hiện từ ngày 8/9/2025)

  • 10 nhiệm vụ, giải pháp trọng tâm của ngành giáo dục năm học 2025-2026

    10 nhiệm vụ, giải pháp trọng tâm của ngành giáo dục năm học 2025-2026

  • Hình ảnh lễ khai giảng năm học mới

    Hình ảnh lễ khai giảng năm học mới

  • Thông báo – Nhiệm vụ trong năm học mới

    Thông báo – Nhiệm vụ trong năm học mới

  • Tập huấn nghiệp vụ kiểm tra, giám sát và thi hành kỷ luật trong Đảng

    Tập huấn nghiệp vụ kiểm tra, giám sát và thi hành kỷ luật trong Đảng

  • Những thay đổi quan trọng trong năm học mới, học sinh cần nắm rõ Mai Hạ • 03/09/2025 19:00

    Những thay đổi quan trọng trong năm học mới, học sinh cần nắm rõ Mai Hạ • 03/09/2025 19:00

  • Vinh danh 42 giáo viên tiêu biểu công tác tại vùng biển đảo khó khăn

    Vinh danh 42 giáo viên tiêu biểu công tác tại vùng biển đảo khó khăn

Thư viện ảnh

  • Hòa trong không khí sôi nổi của tuổi trẻ tỉnh Ninh Bình, thầy và trò Trường THCS Châu Sơn tự hào tham gia Ngày hội Võ nhạc Vovinam

    Hòa trong không khí sôi nổi của tuổi trẻ tỉnh Ninh Bình, thầy và trò Trường THCS Châu Sơn tự hào tham gia Ngày hội Võ nhạc Vovinam

    Lượt xem:
  • TUYÊN DƯƠNG THÀNH TÍCH THẦY VÀ TRÒ TRONG KỲ THI HỌC SINH GIỎI CẤP TỈNH

    TUYÊN DƯƠNG THÀNH TÍCH THẦY VÀ TRÒ TRONG KỲ THI HỌC SINH GIỎI CẤP TỈNH

    Lượt xem:

Thư viện videos

  • Hòa trong không khí sôi nổi của tuổi trẻ tỉnh Ninh Bình, thầy và trò Trường THCS Châu Sơn tự hào tham gia Ngày hội Võ nhạc Vovinam

    Hòa trong không khí sôi nổi của tuổi trẻ tỉnh Ninh Bình, thầy và trò Trường THCS Châu Sơn tự hào tham gia Ngày hội Võ nhạc Vovinam

    Lượt xem:
  • Học sinh Trường THCS Châu Sơn biểu diễn hát chèo trong Lễ sơ kết học kì I năm học 2025–2026.

    Học sinh Trường THCS Châu Sơn biểu diễn hát chèo trong Lễ sơ kết học kì I năm học 2025–2026.

    Lượt xem:
  • Hướng dẫn kỹ năng lái xe an toàn

    Hướng dẫn kỹ năng lái xe an toàn

    Lượt xem:

Thống kê truy cập

  • Đang trực tuyến: 2
  • Hôm nay: 579
  • Tổng truy cập: 10579344
  • Địa chỉ IP: 216.73.216.216

Trường THCS Châu Sơn

CHỊU TRÁCH NHIỆM NỘI DUNG

Ban biên tập Trang thông tin điện tử Trường THCS Châu Sơn

LIÊN HỆ

Trường THCS Châu Sơn

  • Điện thoại:
  • Email: viettechkey@gmail.com
  • Địa chỉ: Tỉnh Ninh Bình
  • Giới thiệu Về nhà trường
  • Thông báo
  • Tin tức – Sự kiện
  • Văn bản
  • Thủ tục hành chính
  • Tài nguyên
  • Thư viện ảnh
  • Liên hệ
Thiết kế và xây dựng bởi VIETTECHKEY